Toereakstioonid

iDevice ikoon

Välisjõud on väljast konstruktsioonile mõjuvad koormused, toereaktsioonid ja jõumomendid. Toereaktsioonid on välisjõud.

Kui jäik keha on vaba, siis tema liikumine ei ole takistatud. Puuduvad välisjõud.

Kui liikumist takistavad teised kehad, siis on see keha seotud teiste kehadega. Liikumiste takistamist nimetatakse sidemeteks. Keha ja sideme vahel esinevad vastastikused mõjujõud. Jõudu, millega sidemed mõjuvad kehale, nimetatakse sidemereaktsiooniks.

Järelikult: seotud keha võib vaadelda vaba kehana, kui sidemed asendada toereaktsioonidega (R).

Toereaktsioon R on elastsusjõud, mis tekib keha toetumisel pinnale ja on alati risti toetuspinnaga.

Toesidemed

Toed jagunevad:

  • Jäigad - tõkestab liikumist täielikult (liigendite vahekaugus muutumatu)
  • Elastsed - kujutatakse vedruna ja tugi saab liikuda suunas, kus puudub side.

 

Lihtsustatud arvutustes arvestatakse alljärgnevate toe sidemetega:

  • ühesidemeline tugi ehk liikuv tugi - tõkestatud on vertikaalne liikumine (pööre ja ristsuunas liikumine on vaba)

  • kahesidemeline ehk liikumatu liigendtugi ei lase liikuda vertikaalselt ja horisontaalselt - saab pöörata

  • Kolmesidemeline tugi ehk kinnistugi - kõik võimalused liikumiseks puuduvad

 

Toereaktsioonide arvutamiseks on koostatud lihtsustatud valemid.

 

Esmalt tuleb leida õige skeem vastavalt koormusele, sidemele ja konstruktsiooni mudelile. Seejärel valida konkreetse skeemi järgi arvutusvalem (valemid on antud lisas).

 

LAHENDUSE KÄIK:

  1. Valime konstruktsiooni mudeli ehk keha kuju (tala, konsooltala, plaat või post)
  2. Määrame sideme ehk toe liigi (jäik, elastne või kinnistugi)
  3. Valime koormuse (jaotatud koormus q või staatiline koormus P)
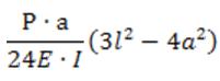
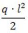
  4. Lihttalade arvutussuurused

Koormusskeem

Toereaktsioonid

Maksimaalne paindemoment Mmax

Läbipaine fmax

 

 

 

 

A=B=

 

 

 

 

 

 

 

 

 

 

 

 

 

A=B=

 

 

 

 

 

 

 

 

 

 

 

 

 

A=B=P

 

 

 

 

 

P·a

 

 

 

 

 

 

 

 

 

A=

 

 

B=

 

 

 

 

 

 

Mmax on 0,577·l kaugusel toest A

 

 

 

 

 

 

 

 

Sisejõududeks, mida määratakse on:

  • Pikijõud (tõmme ja surve) N
  • Põikjõud (lõige ja nihe) Q
  • Paine - Mp
  • Vääne - Mv